Senior capstone stream restoration design for Berkley Orchard Park, paired with the Hunnicutt Food Forest — a strategic green infrastructure project connecting Clemson's campus to the broader community.
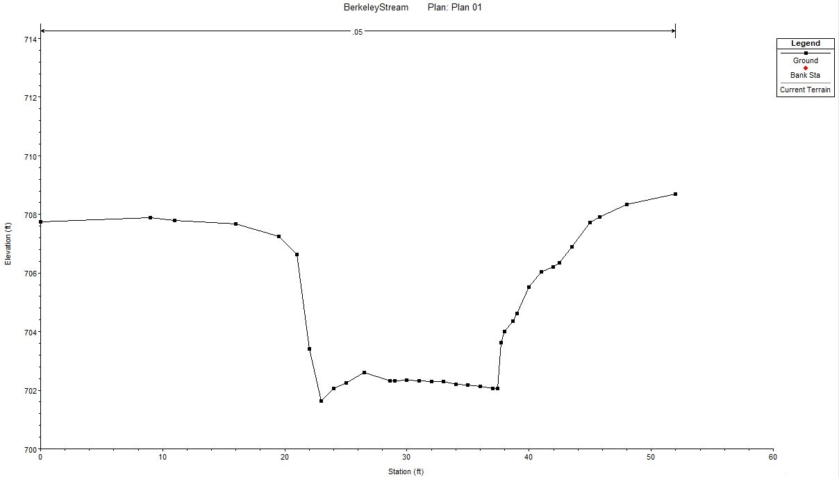
The capstone is a preliminary stream restoration design for Berkley Orchard Park — focusing on Tributary One of Eighteen Mile Creek. The work uses ArcGIS for watershed delineation and HEC-RAS for hydraulic modeling, producing a design-level restoration plan at professional standards.
But the Food Forest is where engineering meets community. The Hunnicutt Food Forest is a strategic green infrastructure project sited on East Campus — deliberately positioned to link the university's ecological work to the surrounding neighborhood. It's not just a garden: it's a permanent, low-maintenance installation of native and productive plants designed to feed people, build soil, slow stormwater, and demonstrate what campus land can do when it's managed with intention.
The seedlings being propagated by Students for Stewardship will be installed in the Food Forest. The capstone engineering informs how water moves through the site. The stream restoration work across campus — Hunnicutt Creek CI — connects directly. These aren't three separate projects. They're one integrated vision for what Clemson's East Campus could become.
The Food Forest and the capstone restoration design are both built around this framework for watershed stewardship:
Project Documents
Project Info